AUTORE: Avi Loeb – 23 Luglio 2025 – Vai all’articolo originale LINK

Image of 3I/ATLAS taken by the Hubble Space Telescope on July 21, 2025. (Image credit: NASA)
Una delle principali incognite riguardanti gli oggetti interstellari, come 1I/`Oumuamua, 2I/Borisov e 3I/ATLAS, è la loro massa. In un articolo pubblicato di recente, ho escluso la possibilità che 3I/ATLAS sia un asteroide con un diametro di circa 20 chilometri, come suggerito dalla sua elevata luminosità, perché rilevare una roccia così massiccia durante il periodo di osservazione di 5 anni del telescopio ATLAS è estremamente improbabile. D’altra parte, ho dimostrato che se 3I/ATLAS avesse un nucleo con un diametro inferiore a 1 chilometro, allora la sua massa sarebbe 8.000 [=(20)³] volte inferiore, in accordo con il serbatoio previsto di rocce nello spazio interstellare. In quel caso, la sua elevata luminosità è associata alla luce solare diffusa dalla nube di polvere che la circonda, un alone esterno che trasporta una piccola frazione della sua massa. Se ci fosse stato un modo per misurare la massa di 3I/ATLAS, questa congettura avrebbe potuto essere testata.
Possiamo misurare la massa degli oggetti interstellari? Essere in grado di farlo ci permetterebbe anche di dedurre la loro densità di massa media basandoci su una misurazione indipendente delle loro dimensioni.
In un nuovo articolo che ho appena scritto con il brillante studente laureato Valentin Thoss, abbiamo studiato la possibilità di pesare oggetti interstellari che attraversano il sistema solare interno utilizzando gli osservatori di onde gravitazionali.
In particolare, il nostro articolo studia la fattibilità di sondare la marea gravitazionale da oggetti interstellari che vagano vicino alla Terra. Il loro segnale gravitazionale impulsivo viene rilevato quando la loro marea gravitazionale sposta le masse di prova all’interno di un rivelatore di onde gravitazionali l’una rispetto all’altra. I nostri calcoli valutano gli intervalli di massa, distanza e velocità degli intrusi a cui sono sensibili gli attuali e futuri rivelatori di onde gravitazionali.
Il nostro articolo dimostra che gli osservatori spaziali previsti: Laser Interferometer Space Antenna (LISA), Big Bang Observer (BBO) e Deci-Hertz Interferometer Gravitational Wave Observatory (DECIGO), sono sensibili a oggetti massicci interstellari al di sopra della scala di 3I/ATLASS, fino a distanze di pochi milioni di chilometri, dieci volte maggiori della separazione Terra-Luna. La limitazione principale di ogni rivelatore è la gamma di frequenze a cui è sensibile. Affinché un incontro sia rilevabile, il sorvolo deve essere sufficientemente vicino o veloce in modo che la frequenza di picco del segnale gravitazionale, data dal rapporto tra la sua velocità relativa e la distanza, corrisponda alla finestra di frequenza a cui il rivelatore è sensibile.
A titolo illustrativo, la figura seguente mostra la distanza massima, R, dai rivelatori di onde gravitazionali esistenti e futuri, alla quale è rilevabile un sorvolo di un oggetto interstellare di massa, M. La trama assume una velocità dell’oggetto di 300 chilometri al secondo, dieci volte più veloce della velocità orbitale della Terra attorno al Sole o della velocità massima dei razzi chimici convenzionali.
Distanza massima a cui i rivelatori di onde gravitazionali sono sensibili a un passaggio ravvicinato di un oggetto interstellare oscuro in funzione della sua massa, M, assumendo una velocità di 300 chilometri al secondo.
La figura successiva mostra il rapporto segnale-rumore (SNR) dall’incontro più ravvicinato previsto entro un periodo di osservazione di 10 anni, assumendo che gli oggetti costituiscano la materia oscura. Il rapporto segnale-rumore è mostrato per diversi rivelatori di onde gravitazionali in funzione della massa, M, e della velocità, v, degli oggetti. La linea rossa indica il contorno per cui SNR = 1.
Rapporto segnale-rumore (SNR) dall’incontro più ravvicinato previsto entro un tempo di osservazione di 10 anni, assumendo che gli oggetti costituiscano la materia oscura. Il rapporto segnale-rumore è mostrato per diversi rivelatori di onde gravitazionali in funzione della massa, M, e della velocità, v, degli oggetti oscuri interstellari. La linea rossa indica il contorno per cui SNR = 1.
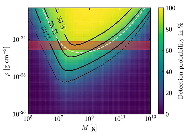
La probabilità che DECIGO rilevi almeno un evento dal passaggio ravvicinato di oggetti compatti dipende dalle loro masse individuali e dalla loro densità di massa locale totale nella Via Lattea. La figura successiva assume un tempo di osservazione di 10 anni e orbite casuali per gli oggetti interstellari. La banda rossa ombreggiata corrisponde all’intervallo delle ultime stime osservazionali della densità locale di materia oscura. La linea tratteggiata indica il contorno della probabilità di rilevamento del 50%, per una riduzione del livello di rumore atteso del rivelatore di un fattore 2.
Probabilità per DECIGO di rilevare almeno un evento dal sorvolo di oggetti compatti, mostrata in funzione della loro massa, M, e della densità di massa locale nella Via Lattea, ρ, assumendo un periodo di osservazione di 10 anni. La banda rossa ombreggiata corrisponde all’intervallo delle ultime stime osservazionali per la densità locale della materia oscura. La linea tratteggiata indica il contorno della probabilità di rilevamento del 50%, per una riduzione del livello di rumore del rivelatore di un fattore due.
In sintesi, il nostro nuovo articolo dimostra che se il sistema solare dovesse incontrare oggetti interstellari oscuri con la densità di massa cumulativa della materia oscura, allora i futuri osservatori di onde gravitazionali come DECIGO offrono buone prospettive per rilevarli nella finestra di massa tra le 10 e le 100.000 tonnellate.
Ovviamente, la classe più interessante di oggetti interstellari oscuri sarebbero le navicelle stealth impiegate da civiltà extraterrestri, nello stile dei nostri aerei B-2 Spirit, per evitare il rilevamento da parte dei telescopi che si basano sulla riflessione della luce solare dalla loro superficie. Questi oggetti a bassa albedo potrebbero avere un tasso di apparizione inaspettato nel sistema solare interno se le loro traiettorie sono progettate per colpire i pianeti abitabili attorno al Sole, dove si svolge la “festa” della vita come la conosciamo.
Fortunatamente, la gravità non può essere schermata e anche questi oggetti furtivi sarebbero rilevabili dai futuri osservatori di onde gravitazionali se le loro masse e velocità fossero sufficientemente grandi e la loro distanza di massimo avvicinamento fosse sufficientemente breve. In quel caso, ogni analista di dati che lavorerà sui futuri osservatori di onde gravitazionali potrebbe dire: “Oggetti interstellari oscuri – avanti, rendete la mia giornata!”
L’AUTORE
Avi Loeb è il responsabile del Progetto Galileo, direttore fondatore della Black Hole Initiative dell’Università di Harvard, direttore dell’Istituto di Teoria e Calcolo dell’Harvard-Smithsonian Center for Astrophysics ed ex presidente del dipartimento di astronomia dell’Università di Harvard (2011-2020). È stato membro del Consiglio dei consulenti scientifici e tecnologici del Presidente e presidente del Comitato per la fisica e l’astronomia delle Accademie Nazionali. È autore del bestseller “Extraterrestrial: The First Sign of Intelligent Life Beyond Earth” (Extraterrestre: il primo segno di vita intelligente oltre la Terra) e coautore del libro di testo “Life in the Cosmos” (La vita nel cosmo), entrambi pubblicati nel 2021. L’edizione tascabile del suo nuovo libro, intitolato “Interstellar”, è stata pubblicata nell’agosto 2024.(Image Credit: Chris Michel, National Academy of Sciences, 2023)