21 Aprile 2026

AUTORE: Avi Loeb – 9 Settembre 2025 – Vai all’articolo originale LINK

L’immagine a più alta risoluzione di 3I/ATLAS è stata scattata dal telescopio spaziale Hubble il 21 luglio 2025, quando l’oggetto interstellare si trovava a una distanza eliocentrica pari a 3,8 volte la separazione Terra-Sole. Mostra una anti-coda, con il bagliore di luce che si estende verso il lato rivolto al Sole (in alto a destra), in direzione opposta alla situazione comune nelle comete. (Credito: E. Keto & A. Loeb 2025, riprodotto da D. Jewitt et al. 2025)

Una caratteristica allettante dell’immagine a più alta risoluzione dell’oggetto interstellare 3I/ATLAS è l’inaspettata comparsa di una anticoda. Questa immagine di 3I/ATLAS è stata scattata dal telescopio spaziale Hubble il 21 luglio 2025 (come riportato qui), quando l’oggetto si trovava a una distanza eliocentrica pari a 3,8 volte la separazione Terra-Sole (UA). L’anticoda è un’estensione della luce diffusa del sole attorno a 3I/ATLAS verso il Sole e non via da esso, come tipicamente accade per le comete.

Questa anomala anti-coda, non dovuta alla prospettiva geometrica, non era mai stata segnalata prima per le comete del sistema solare

Un nuovo articolo (disponibile qui) che ho co-firmato con il mio brillante collega, Eric Keto, fornisce una spiegazione per lo sviluppo di una anti-coda basata su un semplice modello fisico.

In breve, il nostro nuovo modello associa la luminosità attorno a 3I/ATLAS alla dispersione della luce solare da parte di frammenti di ghiaccio che si staccano dalla sua superficie, piuttosto che a particelle di polvere refrattaria come si assumeva in precedenza. La maggior parte della dispersione deriva da granelli di ghiaccio con dimensioni paragonabili alla lunghezza d’onda della luce solare, circa mezzo micrometro.

I frammenti di ghiaccio evaporano dopo un po’ di tempo, ma a causa della maggiore perdita di massa sul lato rivolto verso il Sole, un numero maggiore di frammenti più grandi può raggiungere una grande distanza, dando origine a una anticoda. In altre parole, l’anticoda rappresenta un’estensione della linea di neve, o distanza di sopravvivenza di un granello di ghiaccio in sublimazione, nella direzione del Sole.

L’estensione del bagliore è dovuta alla differenza nel flusso di massa di sublimazione nelle direzioni solare e perpendicolare causata dalla variazione dell’angolo di illuminazione della superficie dell’oggetto

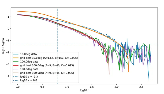
Il flusso di massa di sublimazione più intenso nella direzione del Sole si traduce in grani di ghiaccio di dimensioni maggiori, tempi di sublimazione più lunghi e una linea della neve a una distanza maggiore rispetto ad altre direzioni. I profili di brillanza superficiale osservati in funzione dell’angolo di illuminazione sono ben riprodotti dal nostro modello per una velocità di efflusso costante e granuli di ghiaccio sublimanti con lunghezze di sopravvivenza dipendenti dall’angolo.

Il documento modella la luminosità come scattering da un flusso sferico di grani di ghiaccio in sublimazione in funzione dell’angolo attorno a 3I/ATLAS. Mentre il flusso di massa di sublimazione dalla superficie dell’oggetto è prevalentemente anidride carbonica (CO2), come osservato dal telescopio Webb (qui) e dall’osservatorio spaziale SPHEREx (qui), i grani più longevi sono costituiti principalmente da ghiaccio d’acqua (H2O), che evapora più lentamente rispetto al ghiaccio di anidride carbonica (CO2).

Da una catena di semplici considerazioni, il nuovo modello determina la dimensione massima dei grani di ghiaccio e la velocità terminale in funzione dell’angolo di illuminazione per ricavare la lunghezza di sopravvivenza. La durata della sopravvivenza determina l’estensione della luce diffusa del sole intorno a 3I/ATLAS in funzione dell’angolo di illuminazione.

Profili di luminosità in diverse direzioni attorno a 3I/ATLAS nell’immagine del Telescopio Spaziale Hubble scattata il 21 luglio 2025. Gli angoli di 10, 100 e 190 gradi rappresentano rispettivamente la direzione verso il Sole, perpendicolare a quella direzione e la direzione opposta al Sole. I profili osservati sono sovrapposti agli adattamenti a un modello. Gli assi spaziali hanno unità di pixel (0,04 secondi d’arco per pixel) e conteggi (elettroni rilevati al secondo). (Credito: E. Keto & A. Loeb 2025)

La sublimazione dei granelli di ghiaccio, guidata dal flusso di massa di sublimazione del gas CO2 dal nucleo, determina la curvatura osservata dei profili e l’anisotropia angolare.

All’interno di un modello di deflusso sferico, l’anticoda emerge naturalmente come conseguenza dell’illuminazione anisotropa. La dipendenza angolare della scala di lunghezza caratteristica per la distruzione è dovuta principalmente all’angolo di illuminazione della superficie dell’oggetto, che influisce sul flusso di massa di sublimazione del gas CO2. Il flusso di massa determina sia la velocità terminale dei granelli di ghiaccio che la dimensione massima nella distribuzione granulometrica e quindi la lunghezza caratteristica di sopravvivenza dei granelli di ghiaccio nell’efflusso.

La coda di gas che si estende per almeno 350.000 chilometri attorno a 3I/ATLAS è dominata dall’anidride carbonica — CO2 (87% in massa), con tracce di monossido di carbonio — CO (9%) e acqua — H2O (la maggior parte del restante 4%). Insieme al percorso di 3I/ATLAS allineato con il piano eclittico dei pianeti attorno al Sole — con una probabilità casuale di un quinto di punto percentuale, le caratteristiche sopra menzionate rendono 3I/ATLAS anomalo rispetto alle familiari rocce ghiacciate.

Lo sviluppo di una coda anti-coda osservabile dipende da una combinazione favorevole di composizione e irraggiamento solare che influenzano sia il flusso di massa di sublimazione dalla superficie dell’oggetto sia la distruzione dei granelli di ghiaccio per sublimazione. In particolare, la sezione d’urto totale è dominata da granuli di ghiaccio volatile. Il flusso di massa di sublimazione e la pressione di radiazione non dovrebbero essere così grandi da creare una coda cometaria tradizionale, entrambi indicando che è più probabile osservare un’anticoda a distanze eliocentriche maggiori. Ciò a sua volta richiede osservazioni ad alta risoluzione angolare, come l’immagine scattata dal telescopio spaziale Hubble. Man mano che la cometa 3I/ATLAS si avvicina al Sole, le condizioni fisiche e la forma della chioma che la circonda cambieranno.

Che la coda di gas e ghiaccio sia modellata dalla radiazione solare e dal vento solare a forma di goccia, come osservato la scorsa settimana dal telescopio Gemini South (qui), è una conseguenza diretta della dinamica dei gas e non un indizio sulla natura del nucleo. La situazione è simile all’osservare una colonna di fumo trasportata dal vento. Senza un’immagine chiara della fonte del fumo, non possiamo dire se provenga da un ceppo di legno che brucia o dallo scarico di un’auto.

La transizione dai colori rosso a verde-blu di 3I/ATLAS osservata negli ultimi giorni (e descritta qui) potrebbe essere associata al forte aumento della produzione di cianuro (CN) come riportato dal Very Large Telescope il 25 agosto 2025 (qui). È stato scoperto che la produzione sia di cianuro che di nichel senza ferro (come noto per la produzione industriale di leghe di nichel) aumenta drasticamente con la diminuzione della distanza eliocentrica elevata alla potenza di circa 9 (+/-1).

Stamattina, il team del telescopio ATLAS ha rilasciato dati risalenti al 28 marzo 2025 (accessibili qui), che mostrano che il 3I/ATLAS era attivo molto prima di quanto si pensasse in precedenza. La sezione d’urto della luce diffusa attorno a 3I/ATLAS è cresciuta inversamente con la distanza eliocentrica elevata alla potenza di 3,9 quando l’oggetto si trovava a più di 3,3 volte la separazione Terra-Sole (UA). Una volta che 3I/ATLAS si è avvicinato, la crescita è stata moderata a un indice di legge di potenza di 1,2. Il team di ATLAS interpreta questa evoluzione anomala come un passaggio dallo scattering della luce solare da parte della polvere sollevata da una superficie arrossata alla produzione di piccoli granuli di ghiaccio otticamente brillanti, che hanno modificato l’opacità del pennacchio di materiali espulsi da 3I/ATLAS. Quest’ultima conclusione è coerente con il nostro nuovo modello, tranne per il fatto che il modello sostiene il dominio del ghiaccio e non della polvere refrattaria a una distanza eliocentrica di 3,8 UA.

Nel complesso, 3I/ATLAS è diverso dal primo oggetto interstellare 1I/’Oumuamua, che non mostrava segni di gas o polvere intorno a sé, ma presentava comunque un’accelerazione non gravitazionale. È anche diverso dal secondo oggetto interstellare 2I/Borisov, che si è comportato come una cometa familiare. Nei prossimi mesi impareremo molto di più sulla natura di 3I/ATLAS. La scienza basata sull’evidenza è gratificante finché gli scienziati che interpretano questa evidenza non fingono che non ci sia niente di nuovo sotto il sole.

L’AUTORE

Avi Loeb è il responsabile del Progetto Galileo, direttore fondatore della Black Hole Initiative dell’Università di Harvard, direttore dell’Istituto di Teoria e Calcolo dell’Harvard-Smithsonian Center for Astrophysics ed ex presidente del dipartimento di astronomia dell’Università di Harvard (2011-2020). È stato membro del Consiglio dei consulenti scientifici e tecnologici del Presidente e presidente del Comitato per la fisica e l’astronomia delle Accademie Nazionali. È autore del bestseller “Extraterrestrial: The First Sign of Intelligent Life Beyond Earth” (Extraterrestre: il primo segno di vita intelligente oltre la Terra) e coautore del libro di testo “Life in the Cosmos” (La vita nel cosmo), entrambi pubblicati nel 2021. L’edizione tascabile del suo nuovo libro, intitolato “Interstellar”, è stata pubblicata nell’agosto 2024.(Image Credit: Chris Michel, National Academy of Sciences, 2023)

Lascia un commento